Effets socio-économiques du transport routier dans le développement de la commune de Tchaourou
1K. Bienvenu KPATOUKPA, 2Moussa GIBIGAYE, 3T. Auguste HOUINSOU, 4C Blaise NASSIHOUNDE
Résumé
Les populations de la Commune de Tchaourou éprouvent de difficultés à quitter leurs domiciles pour l’exercice de différentes activités rurales, pour les échanges ou recourir à un service. Cette recherche a pour objectif de contribuer à une meilleure connaissance de l’effet socio-économique du transport routier dans le développement de cette commune. La démarche méthodologique adoptée a comporté différentes étapes notamment la recherche documentaire, une étude exploratoire sur le milieu d’étude, des enquêtes de terrain auprès des transporteurs, des usagers (commerçants, Artisans), des ménages agricoles au moyen de questionnaires. Il s’en suit le traitement des données et l’analyse des résultats. Il ressort des résultats obtenus que les populations de la Commune de Tchaourou exercent les activités tels que l’agriculture, l’artisanat, le commerce, les transformations des produits agricoles, le transport. Ainsi avec la croissance démographique, les besoins en transport se font de plus en plus sentir dans les différents secteurs d’activité. Les modes de transport utilisés sont essentiellement la marche, les taxis-motos appelés ‘’Zémidjan’’, des bicyclettes, les tricycles et les véhicules à quatre roues. Les taxes sont perçues par les autorités locales sur les produits agricoles auprès des paysans, des commerçants, des transporteurs et participent au bon fonctionnement de la commune. Cependant, seulement 6,40 % des routes dans la commune de Tchaourou sont dans un bon état de praticabilité, 53,25 % dans un état passable et 40,35 % en mauvais état, avec pour conséquence les difficultés d’écoulement des produits agricoles.
Mots-clés : Tchaourou, transport, développement socio-économique, milieu rural.
Abstract :
The populations of the Township of Tchaourou feel difficulties to leave their domiciles for the exercise of different farming activities, for the exchanges or to resort to a service. This research has for objective to contribute to a better knowledge of the socioeconomic effect of the road transportation in the development of this township. The adopted methodological gait included different stages notably the documentary research, a survey exploratoire on the middle of survey, of the land investigations by the carriers, of the users (tradesmen, Craftsmen), of the agricultural households by means of questionnaires. He/it follows himself/itself the treatment of the data and the analysis of the results of it. He/it is evident from the gotten results that, in the Township of Tchaourou, the activities as agriculture, the handicraft, the trade, the transformations of the agricultural products, the transportation is exercised. So with the demographic growth, the needs in transportation make themselves feel more and more in the different sectors of activity. The fashions of transportation used are essentially the walk, the called taxicabs-motorcycles » Zémidjan », of the bicycles, the tricycles and the vehicles to four wheels. The taxes are discerned by the local authorities on the agricultural products by the peasants, of the tradesmen, of the carriers and contribute to the good working of the township. However, 6,40 % of the roads in the township of Tchaourou are only in a good state of practicability, 53,25 % in a tolerable state and 40,35 % in disrepair, with for consequence the difficulties of out-flow of the agricultural products.
Keywords: Tchaourou, transportation, socioeconomic development, farming environment.
INTRODUCTION
« La mobilité des hommes, des biens et des informations est une condition nécessaire au progrès économique. Les transports sont un maillon essentiel de l’activité économique et jouent un rôle social très important » (K. B. Kpatoukpa, 2016, p. 11).
«Dans une économie moderne, le transport joue un rôle prépondérant pour faciliter les échanges entre agents économiques. Mieux, en cette ère de globalisation, il constitue un des plus importants véhicules d’échange d’idées et de raffermissement des liens entre les peuples. Il est à la fois facteur et reflet des activités économiques et sociales pour son rôle majeur dans les relations spatiales entre lieux géographiques» (I. A. Yonlihinza, 2011, p. 18).
«L’un des défis majeurs auxquels l’Afrique se trouve aujourd’hui confronté est l’accroissement rapide de sa population notamment celle des milieux urbains. Au cœur des problèmes engendrés par cette croissance rapide et parfois incontrôlée se trouve la cruciale question du transport des personnes et des biens » (O. S. Mongbo, 2010, p. 2).
« Le transport est un service de consommation intermédiaire. Il constitue un auxiliaire de l’activité professionnelle, des loisirs ou de la production. La demande de transport ne peut donc se comprendre qu’en relation avec le mode de vie et l’activité de production, notamment sa structure technique et spatiale » (M. Didier et al., 2007, p. 15). « Le transport est un facteur primordial de croissance économique surtout pour les pays en voie de développement » (T. A. Houinsou, 2013, p. 15). Dans la commune de Tchaourou où l’agriculture occupe une part importante de la population, le problème de transport des personnes et des biens se pose avec acuité. L’objectif de cette recherche est de contribuer à une meilleure connaissance de l’effet socio-économique du transport routier dans le développement de cette commune.
1-Milieu d’étude
1.1 Situation géographique et cadre physique
La Commune de Tchaourou regroupant sept (07) arrondissements (Tchaourou centre, Tchatchou, Goro, Kika, Bétérou, Sanson et Alafiarou) est un vaste territoire de 7256 km2 située au Nord du Bénin et appartenant au département du Borgou. Se trouvant entre 8°5’ et 9°2’ de latitude Nord et 2°2’ et 3°10’ de longitude Est, elle se limite au Nord par les Communes de N’Dali, Pèrèrè et Parakou, au Sud par la Commune de Ouèssè, à l’Est par la République Fédérale du Nigeria et à l’Ouest par les Communes de Djougou et Bassila. La Carte 1 présente la situation géographique de la commune de Tchaourou.
Carte 1 : Situation géographique de la commune de Tchaourou
Dans la commune de Tchaourou, le relief est constitué de plaines et de plateaux surmontés par endroit de monticules/collines culminant parfois à plus de 300 m d’altitude (cas de massifs de Wari-Maro). Le climat est de type tropical humide (climat Sud soudanien). Il s’agit d’un climat uni modal caractérisé par l’alternance d’une saison de pluie (mai à octobre) et d’une saison sèche (novembre à avril). La précipitation moyenne annuelle est de 1200 mm. La structure du sol au niveau de la Commune de Tchaourou est de type ferrugineux tropicaux faiblement concrétionnés, favorable à la mise en place des routes, mais après la construction, elles sont soumises aux effets de l’érosion qui accélèrent leur dégradation.
1.2. Matériels et méthodes de collecte de données
La réalisation de ce travail a nécessité le matériel et les outils tels que la carte topographique qui a servi à identifier les infrastructures de transport routier disponibles, les milieux difficiles d’accès. Le GPS (Global Positioning System) a été utilisé pour la prise des coordonnées géographiques des routes, des gares routières et des marchés, un appareil photo numérique a servi à prendre quelques vues des infrastructures de transport et infrastructures immobilières. Quant au guide d’entretien, à la grille d’observation, au questionnaire d’enquête, ils ont servi à la collecte des données auprès des différents groupes cibles.
1.2.1. Méthode de collecte de données
Elle comprend la recherche documentaire et les travaux de terrain.
2.2.1.1. Recherche documentaire
La recherche a été effectuée dans les bibliothèques et centres de documentation des institutions publiques et privées au plan national et régional.
2.2.1.2. Travaux de terrain
L’enquête de terrain a consisté à la collecte des données sur le terrain. Elle est faite grâce aux techniques de collecte des données que sont : la pré-enquête, elle a permis de se familiariser avec le milieu d’étude et d’être en contact avec les acteurs du transport. L’enquête de terrain a consisté à la collecte des données relatives aux activités socio-économiques exercées, aux moyens de transport utilisés, aux taxes perçues auprès des populations, à la statistique de la population, au climat.
o Echantillonnage
Les groupes cibles et les personnes ressources sont identifiés dans les 6 arrondissements ruraux de Tchaourou. Le choix des arrondissements est fait en tenant compte de l’effectif de la population, de la situation géographique (appartenance au milieu rural ou en périphérie d’une ville), l’efficience économique de la route et l’accessibilité des zones desservies par la route, le potentiel agricole de la zone d’influence de la route.
Ainsi, plus l’effectif de la population est élevé, les besoins en infrastructures routières se font sentir pour l’exercice des différentes activités. Les différents arrondissements retenus dans le cadre de cette étude sont Alafiarou, Bétérou, Goro, Kika, Sanson et Tchatchou. Dans le cas d’espèce, les groupes cibles sont : les transporteurs, les usagers (commerçants, agriculteurs, artisans), les agents de la sécurité routière. Les personnes ressources interviewées sont les autorités communales (Maire, Direction des Services Techniques/ Chef Services Techniques, Chef d’arrondissement, Chef de Village.), Agents du Secteur Communal pour le Développement agricole .
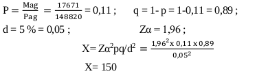
La formule T = M x F a été utilisée ; avec T une partie de la population à enquêter, M l’effectif de la population M = 223 138 habitants selon RGPH-4, et F le taux de sondage fixé à 5 %. Cette formule permettra de déterminer une partie de l’effectif des usagers à enquêter.
L’échantillonnage systématique a été également utilisé car 6 arrondissements sur les 7 arrondissements que compte la commune qui composent le secteur d’étude est essentiellement agricole. Ainsi, il est basé sur les critères tels que être ménage agricole dans les communes ; emblaver au moins un hectare de superficie à chaque campagne agricole ; résider effectivement dans le milieu pendant les dix dernières années ; un (1) représentant par ménage agricole retenu ; être transporteur à deux, trois ou à quatre roues et fréquenter la commune de Tchaourou en toutes saisons pendant ces dix dernières années ;
La détermination de l’échantillon a été aussi possible grâce au protocole statistique de D. D. Schwartz (1995) qui s’exprime comme suit : X = Zα2pq/d2 ; avec X = la taille de l’échantillon requise ; Zα = niveau de confiance à 95 % (valeur type de 1,96) ; d = marge d’erreur à 5 % (valeur type 0,05) qui est l’intervalle de confiance ; q = 1- P avec P = rapport du nombre des ménages agricoles dans les six arrondissements ruraux de la Commune de Tchaourou ; Pag = effectif total de la population agricole (170 524) ; Mag = effectif total des ménages agricoles (17671). Ainsi :
Sur cette base, un échantillon de 150 ménages agricoles a été retenu et soumis à l’enquête. La répartition de cet échantillon est faite de façon proportionnelle en fonction du nombre de ménages agricoles de chaque arrondissement et est présenté par le tableau 1.
Au total, 309 personnes sont enquêtées dont 150 ménages agricoles et 46 transporteurs, 29 commerçants et 31 artisans suivant un choix raisonné, 53 personnes ressources à savoir les autorités locales (Maire, Direction des Services Techniques/ Chef Services Techniques, 7 Chefs d’arrondissement, 30 Chefs de Village, le Chef du Service Prospection et du Développement Local et son collaborateur, la Secrétaire de la mairie, 1 Chef Service économie, 2 Chefs service Affaires Domaniales), 12 Agents du Secteur Communal pour le Développement Agricole.
2.2.1.2. Traitement des données et analyse des résultats
Le traitement des données est numérique. Le dépouillement des différentes fiches d’enquête est fait et les informations recueillies sur le terrain, dans les différents centres de documentation sont codées et regroupées par centre d’intérêt et ont facilité le traitement informatique et l’analyse des tableaux et figures qui en découlent. Le logiciel Excel a servi à la réalisation des graphes. Les logiciels ArcView 3. 2 et Map Source ont été utilisés respectivement pour la réalisation des cartes des infrastructures de transport et le traitement des coordonnées. Le modèle SWOT : Strengths (forces), Weaknesses (faiblesses), Opportunities (opportunités), Threats (menaces) a servi à l’analyse des données traitées.
2. Résultats
2.1. Activités socio-économiques dans la commune de Tchaourou
2.1.1. Activités agricoles àTchaourou
L’agriculture est l’activité prédominante de l’économie de la commune. Elle occupe plus de 80 % de la population totale et est pratiquée par les hommes et les femmes dans la commune. La commune de Tchaourou dispose d’immenses potentialités en matière agricole.
En effet, le caractère peu élevé du relief offre d’énormes superficies cultivables évaluées à 5400 Km2 soit 75,1 % de la commune de Tchaourou (SCDA Tchaourou, 2018, p. 7). Outre les terres riches et abondantes, la commune dispose également de nombreux bas-fonds sur une superficie de 900 hectares.
Par ailleurs, on peut citer l’existence de deux grandes retenues d’eau dont les plaines d’inondation peuvent être utilisées aux mêmes fins que les bas-fonds. Il s’agit des retenues d’eau d’Alafiarou (Arrondissement d’Alafiarou) et de Kaki-Koka (arrondissement de Bétérou). Pour construire la route dans cette commune, une bonne partie de ces eaux est utilisée.
o Principales productions agricoles
La commune dispose de potentiels de produits agricoles et variés qu’elle pourra mettre en valeur. Les cultures vivrières, industrielles ou de rente et maraîchères sont pratiquées par les populations de Tchaourou. L’agriculture demeure l’activité principale génératrice de revenus pour la majorité de la population de la commune de Tchaourou et par ricochet contribue à l’amélioration des conditions de vie des populations. Les récoltes ont besoin d’être transportées vers les zones urbaines où elles sont vendues. Mais lorsque les routes sont en mauvais état, elles sont bradées bord champ ou périssent avec pour conséquences des manques à gagner aux cultivateurs._
Les céréales constituent l’alimentation de base des habitants. Il s’agit de : mais (Zea mays), sorgho (Sorghum), soja (Phaseolus mungo), etc. Le maïs est la céréale la plus cultivée à Tchaourou. Le paysan accorde une attention particulière aux tubercules et aux racines notamment l’igname (Discorea) et le manioc (Manihot esculenta). L’igname occupe une place de choix dans l’ensemble de la commune et demeure la principale culture préférée des populations. Les productions les plus importantes sont à mettre à l’actif des colons agricoles notamment les lokpa ; les yom ; les bariba et les kabyè. Elle est cultivée en grande quantité dans les villages de Woria, Kassouala, Gango, Tchatchou. Selon les résultats d’enquêtes de terrain, à Tchatchou, en moyenne un (1 ha) d’igname est cultivé par ménage. Cette culture joue un grand rôle dans l’alimentation des populations. Le manioc (Manihot esculenta) est cultivé partout et constitue en même temps un aliment de base et une source de revenu pour ces populations. Sa consommation et sa commercialisation se font sous plusieurs formes (gari, tapioca, cossette foutou). Sa production a connu une régression au cours de ces dernières années.
Entre 2011 et 2016, sa production en baisse nette est passée de 345181 tonnes à 110836 tonnes. Quant au rendement, il a diminué de 8947 tonnes à l’hectare dans la même période. Dans le même temps, les superficies sont passées de 31393 à 11779 ha (Secteur Communal pour le Développement Agricole Tchaourou, 2018). D’une façon générale la production des tubercules évolue de manière exponentielle. Elle permet aux populations de satisfaire en partie leur besoin de consommation locale et d’approvisionner des localités urbaines d’où l’importance des routes et surtout les routes de qualité pour faciliter l’évacuation des produits agricoles. Ce qui influence le coût du transport et le prix d’achat (planche 1).
- Coton
Le coton considéré comme une culture de rente a connu une progression remarquable entre les années 2012 et 2016 avec un tonnage qui est passé de 32 tonnes à 511 tonnes (SCDA Tchaourou, 2018). Le transport du coton graine vers les points de vente se fait généralement à l’aide de la marche (portage), les moyens à deux ou trois roues (engins et tricycle) à cause de l’état de la route. Ensuite, il est convoyé vers les industries d’égrenage à l’aide des camions gros porteurs qui causent d’énormes désagréments à la route surtout pendant la saison des pluies. Aujourd’hui, cette culture est presque abandonnée selon 90 % de la population à cause de sa faible rentabilité, les délais de paiement trop longs au profit de l’anacarde et des cultures vivrières.
- Anarcade
La filière d’anacarde est très développée à Tchaourou mais mal organisée. Elle intéresse aussi bien les hommes que les femmes dans la commune. Aujourd’hui, l’anacarde est devenu un produit de rente pour les populations de Tchaourou en raison de la facilité de son système de production, de l’aptitude des sols face à sa culture et de l’importance du revenu monétaire qu’elle génère. De 2013 à 2016, la production de l’anacarde est évaluée en moyenne à 6907,6 tonnes.
- Cultures maraîchères
Elles sont également produites dans la commune de Tchaourou. Il s’agit de : la tomate (Solanum lycopersicum), le gombo (Hibiscus esculentus), le piment (capsicum), le chou (Brassica oleracea), la carotte (Daucus carotta) etc. Ainsi de 2008 à 2016, il est produit à Tchaourou en moyenne 36030 tonnes de produit maraîcher. L’évolution végétative de ces cultures est bonne dans l’ensemble sur les sites maraîchers de Tchaourou; Tchatchou, Kpassa et de Kaki-Koka grâce à l’appui du Projet de Sécurité Alimentaire pour l’Intensification Agricole (PSAIA).
o Autres activités dans la commune
-
- Transformation des produits agricoles dans la commune deTchaourou
La transformation des produits agricoles reste encore artisanale et manuelle. Elle constitue l’une des principales activités des femmes (organisées ou non en groupements). Elle est dominée par des sous activités telles que : la transformation du manioc en cossette, en gari et en tapioca ; la transformation de l’igname en plusieurs dérivés (préparés, frits, cossettes, wassa-wassa, etc.) ; la transformation de maïs en plusieurs aliments locaux (akassa, bouillie, patte, etc.) et la transformation des produits de pêche (poissons frits et fumés).
o Activités commerciales dans la commune de Tchaourou
Le commerce est un secteur hypertrophié qui se caractérise par la vente en détail surtout par les femmes sur les marchés locaux. Il se ramène à la vente des produits agricoles et halieutiques ainsi que leurs dérivés, mais aussi à la revente, souvent en détail, des produits manufacturés. Notons également que dans la commune, le secteur informel est aussi dominant à cause de la proximité du Nigeria qui a développé la contrebande des produits pétroliers. On y rencontre aussi les béninois du sud avec des boutiques ainsi que des nigérians et nigériens qui disposent également des boutiques. Parmi eux, ils y en ont qui font la vente ambulante plus bénéfique car exempte de toute taxe.
o Activités artisanales dans la commune de Tchaourou
L’artisanat est une activité très peu développée et mal organisée dans la commune. Il concerne la sculpture; la vannerie; la forge; la poterie et le tissage traditionnel. Il existe d’autres corps de métiers tels que les menuisiers; les maçons; les dépanneurs radio; les cordonniers, les coiffeurs, les coiffeuses, les couturières, les soudeurs et les mécaniciens. La plupart de ces artisans travaillent individuellement avec un faible revenu de technicité. Pour l’exercice de ces différentes activités, les infrastructures routières sont d’une grande importance pour la mobilité des personnes et des biens.
o Activités de transport dans la commune de Tchaourou
Le transport dans la commune de Tchaourou présente deux aspects : le transport local et le transport international.
Le transport local utilise les moyens tels que les marches (portage), les taxis motos (deux et trois roues), les véhicules 4 roues et les camions. En ce qui concerne le transport par portage ou par taxis motos, ils assurent l’écoulement des produits agricoles des lieux non accessibles aux camions. Pendant la saison pluvieuse, leurs activités sont intenses du fait de l’état défectueux des pistes. Le transport par camions assure également l’écoulement des produits, en grande quantité. Ils opèrent généralement dans les champs non enclavés et sur les marchés de collecte. Quant au transport étranger, il s’identifie par les transports inter urbain des produits agricoles. Il s’agit des camions poids lourds et autres qui transportent les produits agricoles surtout des sacs de maïs, les tubercules d’igname en période de soudure sans oublier les produits d’élevage tels que les volailles (poules, pintades, canards, etc.) et les caprins (moutons, chèvres) vers le Sud du Bénin, le Nigéria, le Burkina Faso, etc. Les bénéfices issus de ces activités aident les acteurs à répondre aux 5 besoins fondamentaux (se nourrir, se loger, se vêtir, s’instruire, se soigner) et à ceux de leurs enfants.
L’exercice du métier de conducteur a d’énormes effets sur la santé de l’individu. Au cours du parcours ou du trajet, les secousses issues de l’action conjuguée de l’état du véhicule et de la dégradation des voies, agissent sur le conducteur surtout au niveau de la colonne vertébrale. Mais très souvent, l’on ignore la gravité des conséquences sur l’organisme humain. Ce phénomène fait que chaque fois à la fin de la journée, les conducteurs recourent aux prises de comprimés notamment les défatigants en vue d’une récupération.
o Exploitation forestiere dans la commune de Tchaourou
Elle prend de l’ampleur dans la commune et est favorisée par de nombreuses ressources forestières dont dispose la commune. Elle consiste à l’abatage des arbres de la forêt et leur carbonisation. Ce qui permet d’obtenir des bois d’œuvre (madriers; chevron; bois de chauffage) contribuant de ce fait à la dégradation de l’environnement.
2.2 Etat des lieux du réseau routier de la commune de Tchaourou
La route est un instrument capital pour le développement économique d’un pays ou d’une région. De façon général au Bénin, le réseau routier est composé des routes nationales, de routes nationales inter-Etats, des routes départementales, des routes communales et des pistes de desserte rurales. Mais en tenant compte de la classification technique qui prend en compte le service demandé aux routes et du degré d’aménagement, il existe à Tchaourou des pistes en terre non aménagées, des routes en terre aménagées, des routes revêtues.
o Pistes en terre non amenagées
D’une longueur de 280 km, les pistes en terre non aménagées sont des routes qui servent les populations dans l’exercice de leurs différentes activités. Elles sont impraticables en saison pluvieuse qu’en saison sèche et leur entretien est orienté essentiellement vers l’évacuation des produits agricoles.
o Pistes en terre amenagées
Plus entretenues, les pistes aménagées d’une longueur 313 km, ressemblent à de véritables routes, ceci à cause de leur praticabilité acceptable. En fait, celles-ci bénéficient périodiquement d’un surfaçage en vue de les rendre plus compétitives et durables. L’ensemble des pistes dans la commune de Tchaourou présente un état très peu satisfaisant. Néanmoins, elles permettent de relier les zones agricoles aux marchés, aux centres villes. La largeur de ces pistes varie entre 2 et 4 mètres.
o Routes revêtues
Les routes revêtues sont celles dont la chaussée est constituée d’une couche d’usure d’épaisseur variable. La couche d’usure peut être de type pavé ou bitume. Le revêtement des routes tient compte aussi bien de l’aspect financier que de la portance du sol. Alors, une route revêtue facilite la circulation et présentent des avantages telles que : le confort, la rapidité, la sécurité, etc. En dehors des RNIE 2 et RNIE 6 (bitumées) qui traversent certains arrondissements de Tchaourou, aucune route communale n’est revêtue. Cela suppose qu’un programme rigoureux d’aménagement des voies s’impose à la commune afin d’amorcer son véritable essor. Car le développement d’une localité dépend en partie de la compétitivité de ses infrastructures viaires. La carte 2 présente le réseau routier de la commune de Tchaourou.
carte 2 : Réseau routier de la commune de Tchaourou
2. 3. Incidence économique des pistes de desserte rurales
2. 3.1. Devoloppement des activités economiques informelles
Le développement des marchés intérieurs et la proximité de Tchaourou avec le Nigeria rendent plus dynamiques le secteur des transports et plusieurs activités économiques. Ceci conduit à un passage progressif d’une économie locale de subsistance à une économie extravertie purement mercantile. En effet, de nombreux produits en provenance du Nigeria inondent le territoire de Tchaourou dont les populations en sont très réceptives à cause de leurs bas prix, tout en reléguant au second rang l’aspect qualité. Ces marchandises sont entre autres les produits pétroliers, les motos, les bicyclettes, les produits cosmétiques, les pièces de rechange, etc. Le nombre de détaillants sans cesse croissant augmente de temps en temps dans un environnement économique ou le principe d’intégration régionale favorise la libre circulation des biens et des personnes. Mais le nombre de ces marchandises échappent au contrôle douanier à cause de l’existence d’autres pistes de desserte non surveillées. Ainsi, au-delà des services rendus, les voies rurales constituent aussi un instrument de promotion de la contrebande (planche 2).
La planche 2 montre des bidons d’essence vides par terre et des véhicules chargés sur la gare routière informelle de Woria sur le point de partir en direction du Nigeria pour l’achat de produits pétroliers. C’est un lieu par excellence de transit des produits pétroliers de contrebande qui permettent aux acteurs de répondre quotidiennement à leurs besoins.
2.3.2. Rôle des infrastructures de transport pour l’agriculture
Le tracé des voies pour le raccordement des lieux de production agricole et centres urbains ou ruraux est un véritable indicateur de performance de la commune de Tchaourou. En effet, au-delà de la jonction des localités qu’elles assurent, les vois permettent d’accroître l’efficacité des villages et campagnes dans leur rôle de pourvoyeurs de vivres. Ainsi, le réseau routier rural favorise dans une certaine mesure, l’essor de l’agriculture en ce sens qu’il permet l’élargissement du marché de consommation. A titre illustratif, Tchatchou-Woria est un axe de convoyage des cossettes vers le Nigeria et des particules d’ignames en direction de Tchatchou pour ensuite être transportées vers Cotonou. La route est alors une condition importante pour l’orientation des produits agricoles vers la commercialisation. Elle est encore plus utile lorsque sa bonne praticabilité agit considérablement dans la réduction du coût indirect des produits induits naguère par le degré de dégradation.
2. 4. Problèmes des routes à Tchaourou
Les désagréments enregistrés sur le réseau routier de Tchaourou sont ceux liés à ladégradation et aux caractéristiques des routes. Ces différents facteurs influencent la qualité de la mobilité interpellant ainsi la responsabilité des autorités compétentes.
2.4.1. Facteurs de dégradation des routes
o Facteurs naturels
L’eau est un élément fondamental dans la dégradation des routes à Tchaourou ; car ses effets sur les sols accélèrent la destruction des routes. La saison pluvieuse se présente comme une période très désagréable en ce sens que les pluies abondantes dégradent sérieusement les routes et par ricochet, rendent très pénibles les transports. De façon générale, hormis le fait que ces voies communales sont en terre, elles ne bénéficient pas des conduits adéquats pour l’évacuation des eaux. En effet, les sols s’érodent progressivement sous l’action des écoulements et laissent parfois l’eau envahir la voie. Le phénomène est plus perceptible aux endroits où la voie traverse une rivière ou un fleuve. A ce niveau, les ouvrages de franchissement qui s’y trouvent prennent également un coup. C’est le cas du pont de l’Opkara sur l’axe Parakou-Kabo qui, en période de crue est submergé, occasionnant parfois des pertes en vies humaines pendant la traversée.
o Facteurs économiques
Le faible taux de financement des transports notamment celui du volet routier, constitue un handicap à la compétitivité de ce secteur dans la commune de Tchaourou. Cela pourrait s’expliquer par l’insuffisance des ressources financières dont dispose la Mairie pour faire face aux besoins vitaux. Autrement, les effets sur la praticabilité des voies communales et sur leurs coûts d’aménagement et d’entretien sont considérables et ont tendance quelquefois à anéantir les efforts consentis. En tout état de choses, la sauvegarde des routes doit rester et demeurer une préoccupation majeure, car l’économie de la commune en dépend. Cette sauvegarde passe par des méthodes telles que le reprofilage, le rechargement, le désherbage, l’élagage des arbres.
2. 5. Caractères généraux des transports
2.5.1. Motifs de la mobilité
Compte tenu de son étendue, la commune de Tchaourou regorge une population éparse aux préoccupations multiples. En effet, l’inégale répartition des richesses et des infrastructures crée une intense demande en transport. Les populations relativement déshéritées éprouvent, à l’ère du progrès technique, le besoin de se rendre aux champs, aux marchés, à leurs lieux de travail, aux centres de santé performants, aux centres de loisir, aux manifestations… à l’aide des moyens de déplacement confortables. Puisque les conditions de mobilité sont tributaires des infrastructures routières et des modes de circulation des personnes et des biens, il s’impose alors une desserte des localités qui composent la commune de Tchaourou. Mais ces conditions paraissent de plus en plus difficiles avec la croissance démographique qui accompagne l’urbanisation.
2.5.2. Modes de transport dans la commune de Tchaourou
La satisfaction des besoins de déplacement à Tchaourou passe généralement par les principaux modes que sont : la marche, la bicyclette, le tricycle, la moto, les véhicules à quatre roues.
Le déplacement à pieds, bien qu’il n’existe pas véritablement un réseau piétonnier à Tchaourou, la marche demeure le premier mode naturel de transport. L’incapacité de certains individus à emprunter les véhicules à roues (2, 3, 4 et plus) les contraint à effectuer leur déplacement à pieds avec pour inconvénient la lenteur, la dépense d’énergie humaine et l’accumulation de la fatigue pendant le parcours. Au-delà de ces inconvénients, la marche est réputée pour sa flexibilité. En effet, elle n’est pas très exigeante en termes d’infrastructures routières et elle permet de franchir toute surface terrestre.
La bicyclette est arrivée pour remplacer la marche et le déplacement à dos d’animal. C’est un moyen utilisé majoritairement par les cultivateurs et les élèves. La bicyclette pourrait être considérée comme l’ancêtre du ‘’Zémidjan’’ car elle est aussi utilisée pour assurer le transport des marchandises moyennant payement d’une somme proportionnelle à la charge et à la distance.
La moto et tricycle ou engins motorisés à deux roues représentent le mode de transport le plus sollicité dans la commune de Tchaourou. Ils sont utilisés par plusieurs catégories socio- professionnelles pour des fins diverses. Ainsi, les motos à usage personnel identifiées sont celles des fonctionnaires, des maîtres d’ateliers, des écoliers et d’une frange de la population rurale. L’autre partie du parc des engins à deux roues est complétée par le taxi-moto généralement appelé ‘’Zémidjan’’. Ce mode se développe de jour en jour et ne cesse d’affirmer sa suprématie face au taxi-auto. En effet, en 2017 la part des deux roues dans les déplacements est de 87,60 % contre 12,40 % pour les quatre roues. Face à cette situation, d’énormes efforts méritent d’être conjointement consentis par l’Etat central et l’administration locale dans le domaine des infrastructures. Quant aux tricycles, engins motorisés à trois roues, ils sont très utilisés aujourd’hui et tendent à substituer les véhicules 5, 9 places et les bâchées utilisés pour le transport des personnes et des biens. Ainsi, la taille du tricycle lui permet d’aller là où les automobiles ne peuvent pas s’y rendre. La planche 3 présente un tricycle et des engins à deux roues à Goro et à Woria.
o Véhicules quatre roues à Tchaourou
Constituant un autre mode de déplacement à Tchaourou, les véhicules quatre roues sontrépartis en deux grandes catégories : les véhicules personnels (VP) et les véhicules en commun (VC). En effet, les disparités sociales et économiques donnent privilège à certains ménages, largement minoritaires, de se déplacer avec des véhicules privés pour leurs propres affaires. Ces véhicules ont l’avantage d’une gestion autonome dans la circulation. Sa très faible représentativité dans le secteur des transports est due au nombre accru des ménages pauvres. Par ailleurs, contrairement aux grandes villes du Bénin, la majorité des habitants de Tchaourou restent captifs au transport en commun. Ici, les taxi-autos satisfont la circulation inter-urbaine entre les localités composant la commune et celles qui lui sont limitrophes. Pendant que le premier ensemble de véhicules assure en général la desserte sur l’axe Tchaourou – Parakou (55 km de linéaire) et quelques fois la ligne Tchaourou – Kinnin-Kpannou (piste rurale), la seconde catégorie est réputée dans la satisfaction des besoins de déplacement sur les voies de desserte rurales et les voies primitives.
2.6. Mecanismes de mobilisation des ressources financières par la taxe de développement local (TDL)
La taxe de développement local a été créée au Bénin en 1999. Son objectif principal était de pourvoir en ressources propres les communes disposant d’un faible potentiel de recettes au titre des impôts locaux. Dans la Commune de Tchaourou, l’application de la TDL a été effective à partir de l’année 2009. Cette taxe est prélevée lors des ventes de produits finis de récolte, les ressources animales et de produits forestiers au titre de produits des ventes diverses. Les commerçants d’acajou doivent verser une somme de 20.000 F CFA chaque année à la mairie avant le début des ventes. Ainsi, tout commerçant devant quitter la commune avec des marchandises, doit payer une somme de 100 F CFA par sac de produits agricoles et par tête d’animaux. Les élus locaux misent en partie leur espoir sur cette taxe pour le bon fonctionnement de la mairie. Seulement, l’inquiétude que suscite cette taxe réside dans le fait qu’elle est perçue pour l’essentiel en dehors du centime additionnel, sur le solde commercialisable des ressources végétales, halieutiques, forestières, animales et des prestations de services.
2.8-Discussion
2.8.1. Etat des lieux des infrastructures routières
D’une longueur de 280 km, les pistes en terre non aménagées sont des routes qui servent les populations dans l’exercice de leurs différentes activités. Elles sont impraticables en saison pluvieuse et leur entretien est orienté essentiellement vers l’évacuation des produits agricoles d’après 85 % des personnes enquêtées. Dans la commune de Tchaourou, l’ensemble des pistes présente un état très peu satisfaisant. Ces résultats rejoignent ceux de A. T. Houinsou (2013, p. 107) dans le Sud-Bénin. Les pistes améliorées d’une longueur de 313 km, ressemblent à de véritables routes, ceci à cause de leur praticabilité acceptable. La commune de Tchaourou est traversée seulement par la routes Inter-Etats 2 bitumée et la routes Inter-Etats 6 non bitumée.
2.8.2. Modes de transport dans la commune de Tchaourou
La satisfaction des besoins de déplacement à Tchaourou passe généralement par le transport routier dont les principaux moyens sont : la marche, la bicyclette, la moto, le tricycle, les véhicules à quatre roues et plus selon 75 % des enquêtés. L’incapacité de certains individus à emprunter les véhicules à roues (2, 3, 4 et plus) les contraint à effectuer leur déplacement à pieds avec pour inconvénient la lenteur, la dépense d’énergie humaine et l’accumulation de la fatigue pendant le parcours. Ces résultats rejoignent celui de Kauffmann cité par A. T. Houinsou (2013, p. 20) selon lequel le bilan pour l’Afrique est désastreux où le transport routier est le mode de transport motorisé dominant.
2.8.3. Modes de transport dans la commune de Tchaourou
Le développement des marchés intérieurs et la proximité de Tchaourou avec le Nigeria rendent plus dynamiques le secteur des transports et plusieurs activités économiques. Ce qui explique le passage progressif d’une économie locale de subsistance à une économie extravertie purement mercantile d’après 85 % des enquêtés. Ces résultats sont les mêmes que ceux obtenus par M. Gibigaye et al. (2018, p. 39) dans la commune de Toviklin où la route joue un rôle important dans la satisfaction des besoins fondamentaux d’après 85 % des personnes enquêtées En effet, de nombreux produits en provenance du Nigeria inondent le territoire de Tchaourou dont les populations en sont très réceptives à cause de leurs bas prix, tout en reléguant au second rang l’aspect qualité. Ces marchandises sont entre autres les produits pétroliers, les lubrifiants, les motos, les bicyclettes, les articles cosmétiques, les pièces de rechange etc.
Conclusion
Les transports constituent un maillon important dans la chaîne de développement des sociétés humaines toutes formes confondues. A Tchaourou où l’activité agricole prédomine, les besoins en transport sont importants. Les prospectives pour un monde agricole moderne imposent à ce secteur l’instauration d’une politique efficace de mobilité afin de disposer des systèmes de transports plus économiques et moins nuisibles. La question des transports est étroitement liée au taux démographique sans cesse croissant à Tchaourou. Les besoins sont d’autant plus énormes que l’immensité du territoire de la commune induit de longues distances.
Les solutions relatives aux problèmes de déplacement à Tchaourou relèvent dans l’ensemble, du transport en commun pour les liaisons ville-campagne, campagne-ville ; les taxis-autos et les taxis-motos (Zémidjans) et les tricycles pour les mobilités de la campagne en campagne surtout pour le transport des personnes et des produits agricoles des champs vers les marchés et les lieux de consommation. Le secteur regroupe majoritairement aussi bien les cultivateurs que les artisans, toute catégorie confondue. L’infrastructure routière dans son ensemble est un élément très indispensable du système des transports, qui est peu compétitif à cause de l’étroitesse, de la dégradation des routes et de ponts, ponceaux et dalots. Ceci engendre alors des désagréments avec leurs effets pervers sur les usagers et sur les activités humaines qui se traduit par l’insécurité routière. Eu égard aux différents aspects évoqués il importe de redynamiser le secteur des transports en réorganisant tous les acteurs concernés afin d’avoir un système fiable de transport contribuant à la prospérité de l’économie locale.
Références bibliographiques
DIDIER Michel, PRUD’HOMME Rémy, GUESNERIE Roger, BIED-CHARRETON Hugues,
BUREAU Dominique, GINTZ Rodolphe, LACROIX Fabrice, MAURICE Joël et SEABRIGHT Paul, Infrastructures de transport, mobilité et croissance, 241 p.
GIBIGAYE Moussa, HOUINSOU Tognidè Auguste, KPATOUKPA Kweshivi Bienvenu, NASSIHOUNDE Cocou Blaise, 2018. « Contribution des infrastructures de transport au développement local dans la commune de Toviklin » in annales de la FASHS, volume 2 janvier 2018. Université d’Abomey-Calavi, pp 22 – 40.
HOUINSOU Tognidè Auguste, 2013, Infrastructures de transport routier et Structuration de l’Espace au Sud-Bénin, Thèse de Doctorat unique à l’Université d’ Abomey-Calavi (Bénin), 261 p.
KPATOUKPA Kweshivi Bienvenu, 2016, Rôle des infrastructures de transport routier dans le développement socio-économique de la commune de Bohicon, Mémoire de DEA/GEN, EDP/ FLASH/UAC, 105 p.
MONGBO Odette Sètondé, 2010, Dynamique des infrastructures routières à Bohicon et leurs impacts sur le développement urbain, Mémoire de maîtrise en géographie, DGAT/FLASH/UAC, 102 p.
SCHWARTZ Daniel, 1995, « La méthode statistique en médecine : les enquêtes éthiologiques » Revue de statistique appliquée, tome 8, no 3 (1960), p. 5-27.
Secteur Communal pour le Développement Agricole de Tchaourou, 2018, Statistiques annuaires de la campagne agricole 2015-2016, 18 p.
YONLIHINZA Issa Abdou, 2011, Transports et désenclavement dans la problématique du développement local à Téra au Niger, Thèse de l’université de Toulouse, 417 p.
Auteur(s)
1Département de Géographie et Aménagement du Territoire / Université d’Abomey-Calavi (UAC), kweshvi2011@gmail.com
2Département de Géographie et Aménagement du Territoire / Université d’Abomey-Calavi (UAC), moussa_gibigaye@yahoo.fr
3Département de Géographie et Aménagement du Territoire / Université d’Abomey-Calavi (UAC), houinsouauguste@yahoo.fr
4Département de Géographie et Aménagement du Territoire / Université d’Abomey-Calavi (UAC), nassihounde@yahoo.fr
Droit d’auteur
EDUCI






